

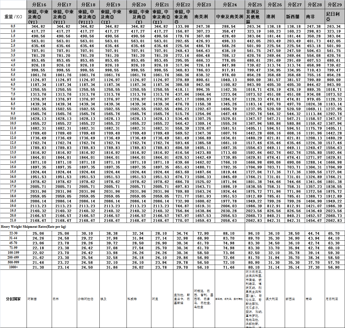
备注:此价格人民币报价,未含燃油费!申報價值超過USD120.00, 每票加收RMB25元/票报关费;货物单边长度≥120CM,征收货物尺码过大附加费:RMB155元/票;
1:服务类型:香港TNT经济快递;交货时注明报价表名称. 2:深圳截单时间:深圳截单时间14:00前,第二天上网,各分公司类推,周日不出货; 3:可接单独报关件加收RMB300元/票,不接受原木包装及国际速递协会之禁运物品。 4:操作要求:体积为:长*宽*高/5000;另加收0.5元/KG的安检费,最低消费5元/票,最高消费100元/票;TNT经济服务的尺寸范围是1.2m(宽)*1.5m(高)*2.4m(长),单件不能超500KG。 5:偏远地区费用:偏远地区需加收偏远派送费,收费标准:RMB:3.5/KG,最低RMB:80/票,不包含燃油,此费用由寄件方支付; 6:使用需知:此报价不含货物运转过程中产生的海关关税、海关??睢⒉执⒎?、收件人要求目的址派送地改地费用、目的地不能完成清关被退回的费用及从香港 进口到大陆的费用,以上费用都由交货方承担支付,并直接计入结算单内;此价格不接受任何形式的赔偿。 7: 香港TNT伊朗及菲律宾件不接带电池产品.本价格可接产品配套及内置锂离子电池和干电池和锂金属电池;无须提供电池资料和贴电池标签;锂离子电池組最大功率100Wh或以下;不接纯电池;所有电池货件必须在发票上注明内有电池,否则因此产生的延误和一要后果由客户自行承担。
a、和设备包装在一起的锂电池PI966:除设备必须的电池外,备用电池限制为2个以内,电池与电池,电池与设备要分开放置且有防短路措施,单个包装件内电池重量不得超过5KG,整箱货物电池重量无限制。
b、和设备安装在一起的锂电池PI967:需有坚固的外包装,里面包装必须妥善固定,内物不能有晃动,并确保里面设备电源是关闭的,单个包装件内电池重量不得超过5KG,整箱货物电池重量无限制。干电池:仅接收单个少于100伏特数值的干电池配套货件。
亲们还等什么呢?拿起土豪金下订单吧,大智通【TNT国际快递】超赞套餐高品质高性价比等您来体验。官网每周特价信息准时更新,供您随时查阅。小编亦是每时每刻都与您分享大智通的最新TNT国际快递货运详请,用最实惠的价格,更准时无误的航班,至贴心的服务让您体验高大上的国际空运物流方案。


























